Have you ever struggled to keep track of your test scores in school or at work? Using a mini best test score sheet can help you stay organized and motivated to improve your performance.
These compact score sheets are perfect for jotting down scores for quizzes, exams, or any other assessments. With designated spaces for each question or section, you can easily see where you need to focus your efforts.
Mini Best Test Score Sheet
Mini Best Test Score Sheet: A Handy Tool for Success
By using a mini best test score sheet, you can track your progress over time and identify patterns in your performance. This can help you pinpoint areas where you need to study more or seek additional help.
Plus, having all your scores in one place makes it easy to set goals for yourself and celebrate your achievements. Whether you’re aiming for a perfect score or just trying to improve your grades, a mini best test score sheet can keep you on track.
Don’t let your test scores slip through the cracks. Stay organized and motivated with a mini best test score sheet that fits in your pocket or backpack. Start using this handy tool today and watch your performance soar!
Printable Mini Golf Score Sheet PDF Format 2 Per Page Miniature Golf Game Etsy Australia
ESCALA DE AVALIA O MINI BEST TEST Tradu es Avalia o De Desempenho Docsity
ACE Test U0026 Example Free PDF Download
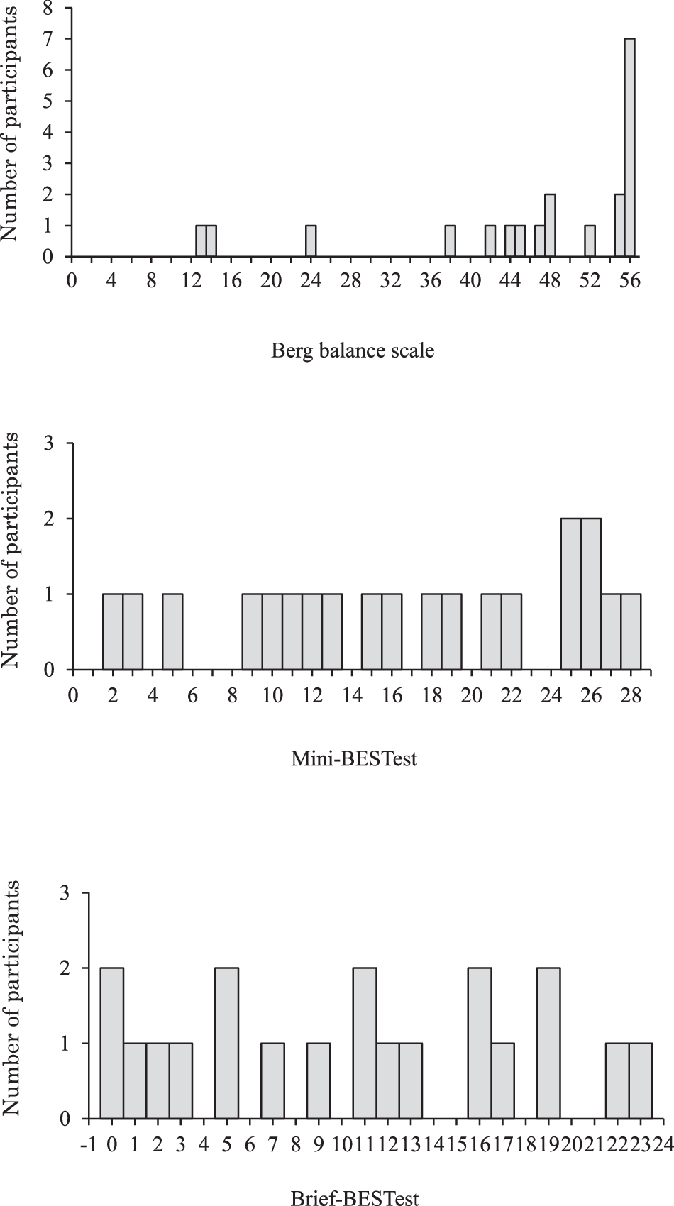
Frontiers Pay Attention You Can Fall The Mini BESTest Scale And The Turning Duration Of The TUG Test Provide Valid Balance Measures In Neurological Patients A Prospective Study With Falls As The
PDF Reproducibility Of The Kids Balance Evaluation Systems Test Kids BESTest And The Kids Mini BESTest For Children With Cerebral Palsy





